Articles in this section

Derivatives - Pricing Cross-Currency Swaps

Let's consider a cross-currency swap (CCS) paying a fixed rate in a home currency and receiving an IBOR floating rate in a foreign currency.

 

Property Description
𝐻 Home currency
𝐹 Foreign currency
𝐾 Fixed rate
mceclip6.png Floating rate
mceclip0__2_.png Spread
mceclip0.png Nominal in the home currency
mceclip0.png Start date of the swap
mceclip1.png Maturity
mceclip2.png Payment dates of the paying leg
mceclip3.png Payment dates of the receiving leg 
mceclip7.png Market date
mceclip9.png Zero coupon discounting curve in the home currency

 

In this swap, we:

  • Pay mceclip1.png at the dates mceclip2.png (with mceclip3.png)
  • Receive mceclip5.png

 

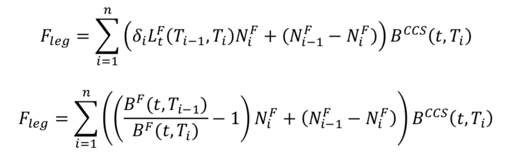
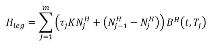
The valorization of the home currency leg is the same as in the vanilla swap but we have to include the nominal difference at each payment date since we do not pay in the same currency:

mceclip8.png

 

For the foreign currency leg, the forward rates are calculated in a classic way using the zero coupon of the foreign currency (and the respective tenor):

mceclip10.png

 

The discounting curve used to valorize the foreign currency leg is not the zero coupon discounting curve in the foreign currency but a zero coupon previously built from the basis CCS spreads between the two currencies. We call this curve mceclip14.png.

 

The valorization of the foreign currency leg is:

mceclip0.png

 

We calculate the valorization of the cross-currency swap with the FX spot rate between the two currencies at the market date mceclip1.png:

mceclip2.png

 

Building Zero Coupon

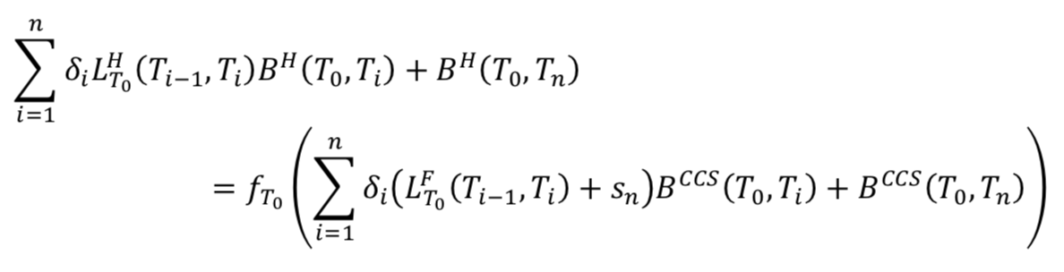
A broker daily sends us the basis cross-currency swap spreads for different currency pairs.

There are different spreads for different swap maturities (from 1Y to 30Y, for example).

 

From the definition of the basis spread we have:

mceclip0.png

 

Here, the swaps start at the publication date, so mceclip2__1_.png.

 

We can reverse the formula:

mceclip0__1_.png

 

We can see that mceclip1__1_.png is a function of the previous mceclip2__2_.png and mceclip3__1_.png.

For the zero coupon, we can then build the CCS zero coupon curve with a bootstrapping method, starting from the first swap (1Y) and calculating mceclip4.png one after the other (of course, mceclip5.png).

 

To finish, we interpolate linearly between the values deduced from the bootstrapping method to get a curve defined on each point.

Was this article helpful?
0 out of 0 found this helpful