Articles in this section

Derivatives - Pricing Swaptions

A swaption is an option that gives the possibility to its owner to enter in a swap at a predetermined fixed rate K.

We note B(t, T) the discounting curve. We consider a swap with a maturity Tn_Tm.png.

We have :

FixedLegFloatingLeg.png

 

The swap rate is the rate that makes the two legs of the swap equal:

Rsw_t_T0_Tm_.png

 

The payoff of the paying swaption is:

XT0.png

Where: _x_+.png.

 

Thanks to the fundamental formula of pricing we have that the price of the swaption, that can be exercised in T0.png, at the instant t_T0.png is:

Pit.png

Where QT0.png is the probability associated with the numeraire B_t_T0_.png.

We now write the price of the swaption under the numeraire Etamj.png (which is often called Level). With the classic change of numeraire formula, we have:

Pit_2.png

The swaption can be seen as a Call on the swap rate with a strike K.

For the currencies with non-negative swap rates, e.g. USD and GBP, the market practice is to consider that the forward swap rate follows a Black log-normal diffusion under the probability Level QL.png:

dRSwt.png

With: RSwt.png

 

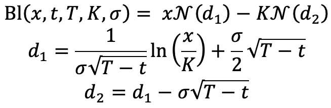
With this model, it is easy to price a swaption with the well known Black formula:

Pit_3.png

With:

Bl_x_t_T_K_o_.png

where N.png is the cumulative normal distribution function.

 

The only unknown is the volatility o.png. The market provides volatilities for swaptions with different durations for the underlying swaps (1Y, 2Y, 5Y, 10Y, 20Y, etc.) and with different exercise times (1M, 3M, 6M, 1Y, 2Y, 5Y, 15Y, etc.).

For each duration and each exercise time, we have volatilities for different strikes. We want a complete volatility smile to have a volatility for any strike. To do this, we suppose that the forward swap rate follows a SABR diffusion:

dRSwt_2.png

 

The reason why we use the SABR model, and why it is world-famous, is that it gives a (nearly) close formula for the implied volatility. Let’s note oimpl.png the SABR-implied volatility. The idea is then to calibrate the parameters of our model _a_b_p_.png on the market volatilities. We do this for each exercise time and for each duration. A classic way to do this calibration is to minimize the following function:

Etak.png

for each T = 1M, 3M, 6M, 1Y, ..., 15Y, ...

After this calibration, we have a smooth volatility curve, the function of the strike, for each exercise time and each underlying swap’s duration. To finish, we interpolate linearly these curves between the exercise times. We then have a volatility surface for each swap’s duration provided in the market.

If you want then to price a swaption with a duration aY.png where a.png is a double, there are 4 possibilities. The easiest one is if a.png is a duration provided in the market. In this case, we just read the volatility on the surface of this duration.

If a.png is lower than the smallest duration provided, we take the volatility of this first duration.

If a.png is greater than the greatest duration, we take the volatility of this duration.

The last case is if a.png is between two durations. In this case, we read the volatility of the first duration lower than a.png and the volatility of the first duration greater than a.png and we interpolate linearly between them to find the volatility.

 

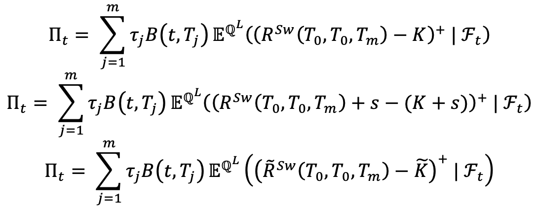
For the currencies with swap rates that can take negative values, e.g. EUR, CHF, JPY, SEK, etc., we suppose that the forward swap rate follows a shifted Black log-normal diffusion:

dRSwt_3.png

 

That ensures us that the process remain positive and we can use the Black Formula as in the previous case:

Pit_4.png

With Rsw_Rsw+S.png  and K_K+s.png. s is chosen in such a way that Rsw.png stays strictly positive.

 

We can see that the diffusion of Rsw.png is:

dRSwt_5.png

So Rsw.png follows a Black log-normal diffusion and we can price the swaption with the Black formula:

Pit_6.png

 

In the case of negative interest rates, the market does not provide the log-normal vol as before but the normal vol. This vol is the implied volatility deduced from the price of swaptions where it is supposed that the forward swap rate follows a normal diffusion:

dRSwt_odWt.png

 

Contrary to the Black model, the normal model allows the swap rate to take negative values. To find the volatility, the process is the same as in the case of non-negative interest rates but with an extra stage.

From the normal volatility, we deduce the price of the swaptions for each duration and each exercise time. We then calculate the log-normal volatility of Rsw.png from these prices. Then, the process is the same as in the case of non-negative swap rates.

We finally have volatility surfaces for each duration for the log-normal process Rsw.png and we use it to price our swaption.

What we call the Exercise Probability is: P_QL_RSw_T0_T0_Tm__K_.png

where we suppose: t = 0.

 

We have:

P_EQL.png

 

So:

P_N_d2_.png

With the same notations as previously.

Was this article helpful?
0 out of 0 found this helpful