Articles dans cette section

Pricing des swaps de devises

Considérons un swap de devises payant un taux fixe en devise domestique et recevant un taux variable IBOR en devise étrangère.

 

Propriété

Description

𝐻

Devise domestique (home)

𝐹

Devise étragère (foreign)

𝐾

Taux fixe

mceclip6.png

Taux variable (floating)

mceclip0__2_.png

Marge (spread)

mceclip0.png

Nominal en devise domestique

mceclip0.png

Date de début du swap

mceclip1.png

Maturité

mceclip2.png

Échéances de la jambe payeuse

mceclip3.png

Échéances de la jambe receveuse

mceclip7.png

Date de marché

mceclip9.png

Courbe d'actualisation zéro-coupon en devise domestique

 

Dans ce swap, nous :

  • Payons mceclip1.png aux échéances mceclip2.png (avec mceclip3.png)
  • Recevons mceclip5.png

 

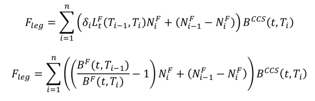
La valorisation de la jambe en devise domestique est la même que celle d'un swap standard, mais nous devons inclure la différence du nominal à chaque échéance, comme nous ne payons pas dans la même devise :

mceclip8.png

 

Dans la jambe en devise étrangère, les taux à terme sont calculées avec la méthode classique avec le zéro-coupon de la devise étrangère (et sa maturité respective) :

mceclip10.png

 

La courbe d'actualisation utilisée pour valoriser la jambe en devise étrangère n'est pas la courbe d'actualisation zéro-coupon en devise étrangère mais un zéro-coupon construit antérieurement à partir de marges initiales des swaps de devises entre deux devises. Nous appelons cette courbe mceclip14.png.

 

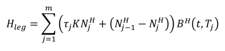
La valorisation de la jambe en devise étrangère est :

mceclip0.png

 

Nous calculons la valorisation du swap de devises avec le taux spot forex entre les devises à la date de marché mceclip1.png :

mceclip2.png

 

Construction du zéro-coupon

Un tiers nous envoie quotidiennenement les marges initiales des swaps de devises des différents couples de devises.

Les marges sont différentes pour les différentes maturités (de 1A à 30A, par exemple).

 

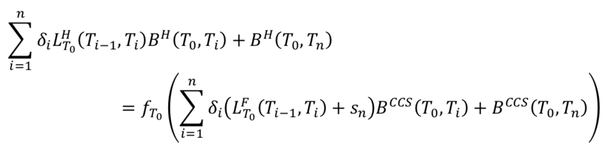
À partir de la définition de la marge initiale, nous avons :

mceclip0.png

 

Ici, les swaps démarrent à la date de publication, doncmceclip2__1_.png.

 

Nous pouvons inverser la formule :

mceclip0__1_.png

 

Nous pouvons voir que mceclip1__1_.png est une fonction découlant de mceclip2__2_.png et mceclip3__1_.png.

Pour le zéro-coupon, nous pouvons ensuite construire la courbe zéro-coupon du swap de devises avec une méthode bootstrap, partant du premier swap (1A) et calculant mceclip4.png l'un après l'autre (bien sûr, mceclip5.png).

 

Pour finir, nous interpolons linéairement entre les valeurs déduites de la méthode bootstrap pour obtenir une courbe définie à chaque point.

Cet article vous a-t-il été utile ?
Utilisateurs qui ont trouvé cela utile : 0 sur 0