Articles dans cette section

Pricing des constant maturity swaps, des swaps et des caps

Pour le pricing des constant maturity swaps (CMS), swaps et caps, et en particulier pour la gestion de l'ajustement de la convexité, Finance Active utilise la méthode développée par Patrick Hagan dans l'article Convexity Conundrums: Pricing CMS Swaps, Caps and Floors.

 

Dans notre notation, aujourd'hui est toujours t = 0.

Propriété

Description

Z(t;T)

Valeur à la date t d'une obligation zéro-coupon avec maturité T.

D(T)

Facteur d'actualisation d'aujourd'hui pour la maturité T.

 

Considérons :

  • Une jambe de swap CMS au taux de swap payant année N.
  • j = 1, 2, …, m

Propriété

Description

t_0.png, t_1.png, …, t_m.png

Dates de la jambe CMS spécifiées dans le contrat.

delta_j.png

Fraction annuelle de l'intervalle j.

R_j.png

Taux de swap d'année N.

 

Pour chaque période j, la jambe CMS paie :

delta_j.pngR_j.png payé au t_j.png

 

Propriété

Description

R_s.png

Date de référénce, cours du pair pour un swap standard débutant au s_0.png et finishant N ans plus tard au s_n.png.

s_1.png, s_2.png, ..., s_n.png

Échéances des jambes fixes du swap.

a_j.png

Fraction d'une année pour chaque période j des jambes fixes.

 

Le niveau du swap est défini ainsi :

L_t_.png

 

Le taux de swap forward est :

R_s_t_.png

 

Le niveau d'aujourd'hui est spécifiquement :

L_0.png

 

Et le taux de swap d'aujourd'hui est :

R_s_0.png

 

Nous débutons le pricing d'un caplet CMS. Le rendement d'un caplet CMS avec une date de fixing τ est :

CMScaplet.png

payé au t_p.png

 

À partir de la formule fondamentale du pricing, la valeur du caplet d'aujourd'hui est (sous le numéraire du niveau) :

V_cap_CMS_0_.png

 

Le ratio Z(τ;t_p.png)/L(τ) est une martingale sous le numéraire du niveau, alors sa valeur moyene est la valeur d'aujourd'hui :

E.png

 

En divisant Z(τ;t_p.png )⁄L(τ) par sa moyenne, nous obtenons :

V_cap_CMS_0__2.png

 

Le premier terme est le prix de la swaption européenne avec le notionnel D(t_p.png)⁄L_0.png. Le dernier terme est la correction de la convexité.

Deux étapes permettent d'évaluer la correction de la convexité. La première étape est la modélisation du mouvement de la courbe des taux de façon à nous permettre de ré-écrire le niveau L(τ) et l'obligation zéro-coupn Z(τ;t_p.png) en termes de taux de swap R_s.png. Nous obtenons :

Z_t_t_p_.png

 

Pour certaines fonctions G(R_s.png), la correction de la convexité est tout simplement la valeure attendue :

R_s_t_-K.png

 

Propriété

Description

q

Nombre de périodes dans l'année :

  • 1, si le swap de référence est annuel.
  • 2, si semestriel.
  • Etc.

Delta.png

Fraction d'une période entre la date de début du swap s_0.png et l'échéance t_p.png.

 

La fonction utilisée est appelée standard model (ou street-standard model) dans l'article de Hagan :

G_R_s_.png

 

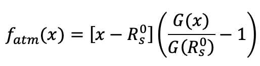
La seconde étape est la réplication du rendement en termes de swaptions payeuses. Pour toutes les fonctions lisses f(R_s.png) avec f(K)=0, nous avons :

f__K_.png

 

Avec :

Capture_d_e_cran_2020-10-05_a__16.55.31.png

 

Nous obtenons :

Capture_d_e_cran_2020-10-05_a__16.56.15.png

 

Alors, nous obtenons pour la valeur du caplet CMS :

Capture_d_e_cran_2020-10-05_a__16.57.00.png

 

Avec la valeur de la swaption payeuse de strike x :

Capture_d_e_cran_2020-10-05_a__16.57.45.png

 

Avec les mêmes arguments, nous obtenons la valeur du floorlet CMS :

Capture_d_e_cran_2020-10-05_a__17.00.34.png

 

Avec de même que f(x) avec le strike K remplacé par le taux de swap R_S_0.png :

Capture_d_e_cran_2020-10-05_a__17.06.39.png

 

Les valeurs C(x) et P(x) sont calculées avec nos surfaces de volatilité swaption internes, construites avec l'hypothèse que le taux de swap forward suit le modèle SABR.

Cet article vous a-t-il été utile ?
Utilisateurs qui ont trouvé cela utile : 0 sur 0